1. 서 론
2. 연구대상 유역
3. 인공함양-취수 시스템을 고려한 함양능력 평가
3.1 인공함양-취수 시스템의 지하수 정류 모사
3.2 인공함양-취수 시스템의 함양 시나리오 구성
3.3 함양정의 주입 시나리오를 고려한 함양가능량 평가
3.4 저투수성 벽체 설치에 따른 유역의 저류능력 평가
4. 결 론
1. 서 론
대수층의 인공함양(artificial recharge)은 유역으로부터의 유출을 지체시키고 지하수자원을 직접 보충함으로써 가뭄의 영향을 줄이기 위해 고려할 수 있는 대안 중의 하나이다. 이러한 인공함양은 잉여 지표유출수를 지하로 직접 주입하는 과정으로써 함양정을 이용하거나 유역의 자연 침투능을 강화함으로써 대수층의 지하수를 함양하고 가뭄시 단수기의 물 수요량을 충족하기 위해 지표수가 여유가 있는 시기에 지하대수층으로 물을 저장하는 방식이라 할 수 있다(National Research Council, 1994). 우리나라의 경우 강수량이 여름철에 집중되어 인공함양 기술을 적용하기 적합하다고 할 수 있으며 이를 통해 기후변화로 인한 물 부족 문제를 해결하고 시공간적으로 차별화된 수자원의 지속적인 확보와 안정적인 공급이 가능하다.
이와 같은 인공함양에 대한 연구는 국외의 경우 불포화 및 포화 대수층에 설치된 주입정에서 상이한 지하수 함양기법에 대한 수리학적 지반공학적 매개변수의 영향을 분석하여 함양가능량을 평가한 바 있으며(Mohamed and Ahmed, 2013) 대수층 인공함양에서 수리전도도의 시간에 따른 감쇄가 양수에 의한 수리전도도보다 적게 나타나고 시간당 함양량이 더 적을 때 수리전도도의 감쇄가 보다 완만하게 나타난다는 사실을 제시하였다(Dong et al., 2011). 또한 갈수기의 지하수 재이용을 위해 주입정을 통한 인공함양 방식을 적용하여 주입정의 운영조건을 도출하기 위해 수치모델링을 활용한 바 있으며(Karim and Ali, 2017) 홍수확산 시스템에 적용된 향상된 용수저장 기술에 대한 성능 및 수문학적 기능에 대한 연구를 위해 물수지 분석 및 지하수 모델링 기법이 활용된 바 있다(Hashemi et al., 2015).
한편, 국내의 경우 시설농업단지의 수막재배로 인한 지하수 고갈 문제해결을 위한 인공함양 관련 연구가 활발하게 진행되어 오고 있다. 이러한 시설농업단지의 인공함양 설계를 위해 수리지질 특성과 주입정 및 양수정 사이의 이격거리 등을 고려한 시나리오별 수치모사를 HydroGeoSphere(HGS) 모델을 적용하여 수행한 바 있으며(Choi and Kang, 2019) 하천변 충적대수층에서 대수층 저류/이동/회수 방식의 인공함양 기법을 적용하였을 때 하천수의 반복주입에 따른 대수층 함양능력에 대한 영향분석에 대한 연구를 수행한 바 있다(Moon et al., 2014). 또한 지하수 모델링 기법을 이용하여 계절양수 시 최적의 인공함양 시기 및 위치를 평가하고 하천고갈인자에 따른 효율적인 인공함양 전략을 제시한 바 있으며(Park et al., 2016) 시설재배지역에서 인공함양기법을 이용하여 수자원 확보 시 최적의 주입정 위치를 평가하기 위해 주입정 위치에 따른 기존 양수정의 양수량 변화를 수치모델링을 활용하여 비교 분석한 바 있다(Lee et al., 2014).
그러나 농업용수 공급을 위한 인공함양 시스템에서 목표취수량을 고려한 기상조건에 따른 유역의 함양능력을 평가하고 함양-취수 시스템의 최적 운영조건을 도출하기 위해 주입량 및 취수량, 지하수 저류량, 함양정 운영조건 등을 다양하게 고려한 가뭄대응에 필요한 수치해석 기반의 정량적인 평가기법에 대한 연구는 미미한 상황이다. 이에 본 연구에서는 기상조건 및 인공함양을 위한 주입정의 주입량 및 주입 기간 등의 변동성을 고려한 함양 시나리오를 구성하고 수치모델링을 활용하여 유역의 농업용수 수요량을 반영한 함양-취수 시스템의 함양능력 평가를 통해 최적 조건을 도출한 후 함양수 주입에 따른 유역내 저류효과를 검토함으로써 가뭄발생에 대비한 농업용수 공급의 효율성과 안정성을 확보하고자 하였다.
2. 연구대상 유역
본 연구 수행을 위한 대상지역은 충청남도 홍성군 갈산면 운곡리 일대로 지형은 한반도 서해안 지역의 일반적인 특징인 저산성 산지와 구릉성 산지로 형성된 노년기 지형의 양상을 나타내고 있으며, 연결성이 없는 소규모의 구릉성 산지가 거의 불규칙하게 산재하고 있다. 갈산면 운곡지구는 동북부의 삼준산(490 EL.m)을 비롯한 산지가 발달해 있고 서부에는 평가가 펼쳐져 있다. 또한 수계는 삼준산을 분수령으로 가곡천, 상촌천, 운곡천이 합류하여 와룡천을 형성하며 지형은 완만하고 밭과 논 등 경작지로 구성되어 있다. 대상지역의 지질은 선캠브리아기의 편암류(월현통 및 명호리통)와 덕정리 편마암, 이들을 관입한 시대미상의 편마암류 혹은 편상화강암, 그리고 백악기에 재관입한 화성암류 등으로 구성되어 있고, 신생대 제4기 충적층이 골짜기 지역을 부정합으로 피복되어 있다(Fig. 1).
본 연구대상 지역의 3D 지하수 수치모델링 수행을 위해 수문지질 및 지형 등 기초자료를 통해 구축된 DB를 활용하여 인공함양-취수시스템 평가를 위한 개념모델을 구축하고자 하였으며 이때 Fig. 1(a)에 나타난 바와 같이 시추조사 자료를 통해 획득한 시추주상도와 지층정보를 활용한 수치 Layer를 구성하였고 불포화대 영역의 현장 수리시험 및 입도분석 결과를 활용하여 수치모델의 지층특성에 대한 입력자료를 구성하였다. 또한 해당 지역의 3D 수치모델링을 위한 개념모델을 구축하고자 지형적인 분수령인 산의 능선을 경계로 설정하였으며 수치지형도의 DEM(Digital Elevation Model) 자료를 활용하여 Fig. 1(b)와 같이 모의 대상영역을 구축하였다. 본 연구에서 3차원 지하수 유동 모델링을 위해 범용수치 모델인 MODFLOW (McDonald and Harbaugh, 1988)를 이용하였다.
3. 인공함양-취수 시스템을 고려한 함양능력 평가
3.1 인공함양-취수 시스템의 지하수 정류 모사
인공함양-취수 시스템을 고려한 함양능력을 평가하기 위해 대상유역에 설치된 주입정 및 취수정, Ditch, 저투수성 벽체(LPB)를 Fig. 2와 같이 모델링 영역에 반영하였다. 또한 대상유역에서 광역 지하수 모델링을 위한 집수영역을 외부유출 경계면을 따라 설정하였다. 이러한 집수영역 내에서 지층경사가 비교적 완만하고 유역저류의 효과가 상대적으로 큰 갈산면 운곡리 소하천 하류부 지역을 저류량 평가영역으로 설정하여 지하수 광역모델링을 통한 국지적인 유역의 저류효과를 평가하고자 하였다.
모델영역은 가로 2,450 m×세로 2,350 m이며 격자망은 490열 및 470행으로 지층조건은 충적층 및 암반층인 2개층의 Layer로 구성하였으며 대상지역의 지층분포 및 수리전도도는 Table 1과 같이 설정하였다. 모델의 경계조건은 대상영역 외부경계를 무흐름 경계(No-flux boundary)로 하천 수계는 하천이 위치한 셀에서 하천수위를 이용한 일정수두 경계조건을 적용한 하천경계(RIV)로 설정하였는데 이러한 하천경계는 하천구간을 따라 하천수위, 하상두께 및 수리전도도를 입력조건으로 이용하였다. 또한 수리상수, 지하수위 및 하천수위와 같은 모델 입력변수는 현장계측 및 현장시험 결과자료를 적용하였다. Fig. 2(a)와 같이 인공함양을 위한 주입정은 총 20공이며 Ditch의 길이는 총 15 m(1 m×5 m×0.8 m 3set)로 설정되었으며 관측정은 주입정 상류와 10 m, 20 m, 50 m 하류지점에 위치하는 것으로 설정하였다.
Table 1.
Distribution of Geological Layer and Hydraulic Conductivity
정류모사 결과 대상유역에서의 지하수위 분포는 EL. 28.0 m~EL. 301.1 m로 나타났으며 Fig. 3과 같이 개념모델 북측 및 동측의 고지대 방행에서 모델 중앙을 흐르는 하천인 저지대로의 지하수 유동이 모사되었다. 또한 정류모사 결과를 이용한 모델 보정을 위해 불확실성이 큰 것으로 판단되는 함양량 자료를 연평균 강수량 자료로부터 추정하여 이를 상수로 활용하여 민감도가 가장 큰 투수계수의 보정과정을 거쳐 관측수위와 계산수위의 결과를 비교함으로써 최적 변수값 추정을 통해 정류모델을 구축하였으며 대상지역의 지하수 함양율은 연평균 강수량(1,238.1 mm/yr, 서산기상대)의 14.0%를 적용하였다(Chungcheongnam-do, 2013). Fig. 4는 정류모사에 대한 관측치에 대한 보정 결과를 나타내며 그림에서와 같이 모델 보정 결과 상관계수 0.995, 정규화된 RMS는 4.55%로 나타나 모델의 예측정확도는 5% 이내로 적합한 것으로 판단되었다.
3.2 인공함양-취수 시스템의 함양 시나리오 구성
본 연구에서는 함양-취수 시스템 평가 시나리오를 구축하여 유역의 함양가능량을 수치모델을 활용하여 평가하고자 하였다. 이에 기상조건을 고려한 대상유역의 함양가능량을 우선적으로 평가한 후 향후 취수가능량을 평가하여 가뭄발생에 대비한 농업용수의 효율적인 공급과 안전적인 용수확보가 가능하고자 정량적인 시나리오 기법을 도입하였다. 유역의 함양능력을 평가하기 위한 주요 항목은 주입량과 취수량, 지하수위, 함양 및 취수 시기와 운영시간 등을 고려할 수 있으며 이와 같은 항목의 변동성을 고려하여 기상조건을 반영한 다양한 함양 시나리오 구성이 가능하다.
함양-취수시스템의 함양능력을 평가하기 위한 시나리오 구성은 먼저 해당 유역의 10년간 발생한 월평균 강수량 자료와 농한기인 1~4월간 누적 강수량 자료를 고려하여 강우조건에 대한 시나리오를 구성하였다. 이를 위해 대상지역 인근의 서산관측소의 기상자료를 수집하였으며 해당 관측소의 2010~2019년의 10년간 강우자료는 Table 2와 같으며 해당 자료의 분석 결과 10년 평균 1~3월 기준 월강수량 누적량은 101.3 mm이며 1~4월 기준 누적량은 184.1 mm로 산정되었다. 본 연구에서는 1~4월 누적 평균강우량을 적용하여 갈수기의 기상조건을 반영하고자 하였으며 수치모델링에서 입력데이터로 강우조건에 따른 월별 함양량을 적용하여 지하수위 변동을 모사하고자 하였다.
Table 2.
Precipitation Data (Seosan Meteorological Station, 2010~2020)
통상적으로 충분하지 않은 하천수는 농번기에 일시적인 하천수 사용증가로 인한 하천수 고갈로 이어지며 이러한 하천의 건천화로 인해 지하수의 지속적인 채수가 발생하여 얕은 우물의 지하수 고갈이 빠르게 발생하게 된다. 즉, 예년보다 강수량이 적거나 이로 인한 하천수량 감소로 가뭄강도가 증가하면 우물의 고갈도 빠르게 진행되며 이에 따른 지하수위도 낮아지게 되므로 각 기상조건별로 지하수의 인공함양의 강도를 증가시켜 농번기에 물 부족에 대비하여야 한다. 이와 같은 상황을 고려하여 강우조건을 고려한 기상시나리오는 ①10년 평균 월강수량, ②10년 평균 월강수량의 75%, ③10년 평균 월강수량의 50%의 강우조건을 고려해 볼 수 있으나 이 중 기 발생 사상인 ①번 시나리오로 단일화하여 기상시나리오를 적용하였다. 또한 유역의 함양가능량을 평가하기 위해서는 물 부족량을 고려한 목표 취수량을 산정하여 이를 토대로 인공함양을 위한 주입량을 평가하여 대상유역의 지속가능한 수자원 확보와 물 공급의 안정성을 확보하고자 하였으며 이러한 물 부족량은 식 (1)과 같이 산정할 수 있다.
본 연구의 대상지역인 운곡리 유역의 농번기 시작 전인 5월의 물 부족량은 월별 평균강우량을 이용한 유역의 물수지 분석 결과 총 6,446 m3으로 나타났으며 여기서 최대수요량 산정을 위해 고려된 안전율(safety factor)은 용수수요추정의 불확실성 및 안정적인 용수확보를 고려하여 110%를 반영하여 최대수요량을 산정하였다(Table 3). 따라서 목표취수량은 5월의 물 부족량과 농번기 시작인 6월 초 용수확보를 고려하여 6월 물 부족량의 약 10%를 반영한 총 10,000 m3으로 설정하였다.
Table 3.
Water Budget Analysis Result
수치모델을 활용한 시나리오 기반의 함양량 평가를 위해서는 주입정의 단위 주입량 즉, 공당 주입량 및 주입 공수가 동일해야 하며 설정한 목표 취수량 하에서 함양정의 주입총량 및 주입 기간의 조건을 각각 고려한 합성 시나리오를 반영하고 대상유역 하류부에 LPB를 설치하여 유역의 자연 저류능력을 최대한 활용하고자 하였다. 따라서 이와 같은 사항을 종합적으로 반영하였을 때 대상유역의 인공함양-취수시스템을 고려한 수치모사를 위해서 현재 설치되어 있는 주입정 6공과 향후 설치될 주입공 14공을 추가적으로 반영하여 총 주입량을 10,000 m3으로 일정하게 하고 총 20개 주입공의 공당 개별 주입량과 주입시간에 대한 조건을 변화하여 5가지 함양 시나리오를 설정하였으며 이 중 Case 5인 경우 정류모사 시 overflow가 발생하는 것으로 나타나 이후 함양량 평가에서 제외하였다(Table 4).
Table 4.
Artificial Injection Scenarios for Numerical Simulations
3.3 함양정의 주입 시나리오를 고려한 함양가능량 평가
본 절에서는 최적의 인공함양 시나리오를 도출하고자 대상유역에 설치된 함양정의 함양능력을 평가하기 위해 인공함양 시스템의 함양능력을 평가하기 위해 총 주입량 10,000 m3 조건하에서 지하수위 상승고의 변화를 분석하고자 하였으며 이를 위해 경사(지표면 및 암반층 경사)와 대수층 두께를 고려하고 작물성장 심도를 고려하여 지표면 하부 1.0 m 이하로 지하수위 상승 범위를 설정한 후 전술한 주입 시나리오별(Case 1~4)로 수치모사를 수행하였다. 수치모사로 도출된 함양정의 주입량 시나리오(20, 33, 50, 62.5 m3/day)에 따른 대상유역내 주입정 및 하류로 10, 20, 50 m 이격된 관측정에서의 개별 지하수위 변동은 Fig. 5에 나타내었다. 그림에서 보는 바와 같이 인공함양수 주입 후 유역 내 지하수위 유지시간은 약 25~42일간 유지되는 것으로 모사되었다. 또한 주입량이 많을수록 주입에 따른 지하수위 상승 및 하강 시간이 빨라지며 주입정에서 멀어질수록 지하수위 상승 효과가 떨어지는 반면 지하수 저류효과는 비슷하게 나타남을 알 수 있었다. 단 강수량, 가뭄발생 지속시간 등 추후 상세한 검토가 필요한 것으로 판단되었다.
한편, 주입정 및 주요 관측공에서의 주입량 시나리오별 지하수위 변동은 Fig. 6과 같이 나타내었으며 그림에서 보는 바와 같이 주입정(IW-4)에서의 주입량 시나리오별 지하수위는 0.82~1.94 m 상승하는 것으로 나타났으며 하류로 이격된 관측공인 OB-1, OB-2, OB-3에서 주입 시나리오별 지하수위는 0.65~1.49 m, 0.52~1.11 m, 0.29~0.48 m 각각 상승하는 것으로 모사되었고 관측공 BH-2와 BH-3는 0.07~0.08 m, 0.12~0.13 m의 수위상승이 각각 나타나는 것으로 모사되었다. 이와 같이 주입정으로부터 하류방향으로 갈수록 유역내 지하수위 감소량은 적어지고 완만한 수위강하 양상을 보여주고 있으며 향후 안정적인 취수가 가능한 지하수위 안정화 상태까지 주입량과 주입시기 및 주입위치가 결정되어야 함을 알 수 있었다.
주입량 시나리오에 따른 유역내 지하수 유출량 변화 및 주입완료 후 지하수 저류량 변화를 모사한 결과는 Fig. 7에 나타나 있으며 분석 결과, 주입량이 적은 Case 1(20 m3/day)의 경우 약 25일간 인공함양 영역에서 저류량이 감소하고 Case 2(33.3 m3/day)의 경우 주입 후 약 34일간 저류량이 감소되며 Case 3(50.0 m3/day)의 경우 약 39일간 Case 4(62.5 m3/day)의 경우 약 42일 동안 저류량이 각각 감소되는 것으로 모사되었다.
이와 같이 대상유역에 설치된 주입정 및 하류로 10 m, 20 m, 50 m 각각 이격된 관측정별 지하수위 변동은 Table 5와 Fig. 8과 같이 요약할 수 있다.
Table 5에서 보는 바와 같이 주입정의 지표면 표고가 기준면으로부터 2.75 m이므로 대수층 두께 및 작물성장 심도를 고려하여 지표면 하부 1.0 m인 1.75.m 이하로 지하수위 상승범위를 설정하였으므로 Case 3(50 m3/day)의 경우 주입정 및 관측정 모두 지표하 1.0 m 미만의 지하수위 상승범위를 최대한 만족하므로 주입정의 개별 주입량은 50 m3/day가 적절한 것으로 모사되었다. 본 시나리오 경우 10일간 주입으로 총 주입량 10,000 m3을 주입하였으며 지하수위 상승량은 주입정에서 최대 1.64 m를 유지하였다.
Table 5.
Groundwater Level Rise by Injection Scenarios
Fig. 8에서 보는 바와 같이 주입정으로부터 하류로 10, 20, 50 m 이격된 관측정에서의 수위상승은 0.29~1.49 m로 유지되었으며 이때 주입수는 약 50~60일간 유지되는 것으로 모사되었다. 또한 주입 시나리오(Case 3)에 의한 대상유역내 지하수위 상승에 따른 영향범위는 수위 상승량 0.1 m를 기준으로 하였을 때 약 113. 5 m로 예측되었다.
3.4 저투수성 벽체 설치에 따른 유역의 저류능력 평가
본 연구대상 지역인 운곡리 유역에 대한 함양능력 평가를 위해 시추조사를 통해 획득한 지질 및 지층 특성자료를 분석하였다. 그 결과 매립층은 0.8~1.5 m 심도에 분포하며 전석을 포함한 모래로 구성되어 있으며 충적층과 붕적층을 포함한 토사층은 산악지역(BH-6, BH-7)을 제외하고 1.5~5.3 m 심도에 분포하고 있고 풍화토는 실트질 모래로 구성되어 있으며 1.5~6.5 m 심도에 분포하고 있다는 것을 기 연구결과(Lee et al., 2019)를 통해 파악하였다. 또한 대수층의 수리지질학적 특성의 하나인 수리상수값은 기 연구결과에서 시추조사 및 현장시험 결과를 통해 얻은 충적층, 풍화토 및 기반암의 수리전도도는 4.53×106, 1.90×107, 1.90×107 m/s의 값을 각각 적용하였다.
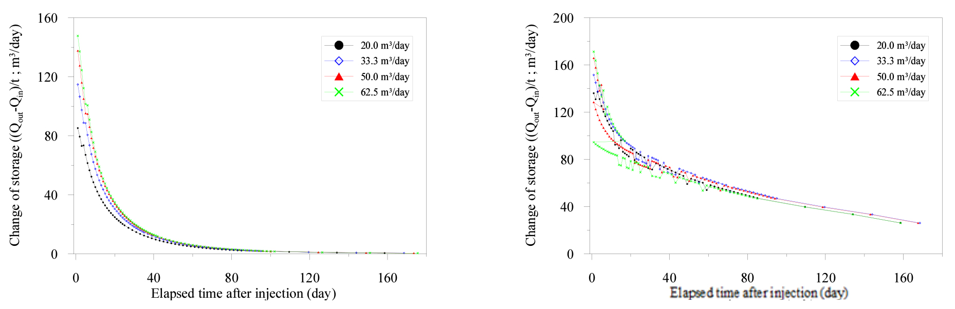
본 연구에서는 충적대수층의 특성을 고려한 대상유역의 저류능력을 평가하기 위해 Fig. 2(a)와 같이 유역내 설치된 수평취수정으로부터 하류로 약 50 m 위치에 수직으로 길이 12 m, 수리전도계수 105 cm/sec의 저투수성 벽체(LPB)를 설치하여 함양정의 인공주입 시나리오에 따른 유역내 지하수 저류효과를 검토하고자 하였다. 함양정의 주입입량 시나리오에 따른 유역 하류부 저투수성 벽체 설치 전후의 유역내 지하수 저류량 변동을 수치모사한 결과는 Fig. 9에 나타내었고 함양정 주입 종료후 저투수성 벽체 설치 전후의 유역내 지하수 저류량 변동을 모사한 결과는 Fig. 10에 나타내었다.
Figs. 9, 10에서 보는 바와 같이 인공함양 시나리오에 따른 유역내 지하수 저류효과는 하류부에 저투수성 벽체를 설치하였을 경우, 대상유역의 지하수 총 저류량은 벽체 설치 전 대비 약 6배 가량 증가하였으며 지하수 체류시간은 약 4배 정도 증가하는 것으로 모사결과 나타났다. 이러한 결과를 토대로 유역 하류부의 저투수성 벽체의 설치가 유역의 함양능력 증대에 기여하며 인공주입에 따른 함양효과를 극대화하기 위해 유역의 자연저류 능력을 강화하는 것이 효율적이라는 사실을 알 수 있었다.
4. 결 론
본 연구에서는 인공함양-취수 시스템의 함양능력 평가를 위해 인공주입 시나리오에 따른 주입정 및 관측정에서의 지하수위 변동을 수치모사를 통해 예측함으로써 유역의 저류효과를 분석하여 가뭄발생에 대비한 농업용수의 안정적 확보를 위한 정량적인 평가기법을 도출하고자 하였으며 주요 연구내용 및 결과는 다음과 같다.
(1) 유역의 함양능력을 평가하기 위한 주요 항목은 주입량과 취수량, 지하수위, 함양 및 취수 시기와 운영시간 등을 고려할 수 있으며 이와 같은 항목의 변동성을 고려하여 기상조건을 반영한 다양한 함양 시나리오를 구성하였다. 본 연구의 대상지역인 운곡리 유역의 농번기 시작 전인 5월의 물 부족량은 물수지 분석 결과 총 6,446 m3으로 나타났으며 농번기 시작인 6월 초 용수확보를 목표로 물 부족량을 고려한 목표 취수량은 10,000 m3으로 산정되었다. 이를 토대로 대상유역에 현재 설치되어 있는 주입정 6공과 향후 설치될 주입공 14공을 추가적으로 반영하여 총 주입량을 10,000 m3로 일정하게 하고 총 20개 주입공의 공당 개별 주입량과 주입시간에 대한 조건을 변화하여 4가지 함양 시나리오를 설정하였다.
(2) 인공함양-취수 시스템의 함양능력을 평가하기 위해 총 주입량 10,000 m3 조건하에서 주입수에 의한 지하수위 상승범위를 대수층 두께 및 작물성장 심도를 고려하여 지표면 하부 1 m 이하로 설정한 후 주입 시나리오별(Case 1~4)로 수치모의를 수행하여 비교분석한 결과, Case 3의 경우 지표하 1 m 미만으로 지하수위가 상승하여 주입정의 개별 주입량은 50.0 m3/day가 적절한 것으로 모사되었으며 본 시나리오의 경우 10일 간 주입으로 지하수위 상승량은 주입정에서 최대 1.64 m를 유지하였으며 주입정에서 하류로 10, 20, 50 m 이격된 관측공에서의 지하수위 상승량은 최대 0.22~1.44 m를 유지하는 것으로 예측되었다. 또한 함양수 주입에 의한 대상유역내 지하수위 상승에 따른 영향범위는 수위 상승고 0.1 m를 기준으로 고려하였을 때 약 113.5 m로 예측되었으며 유역내 지하수 유출량 변화는 약 39일간 저류량이 감소되는 것으로 모사되었다.
(3) 대상지역인 운곡리 유역에 대한 충적대수층 특성을 고려한 유역의 함양능력을 평가하기 위해 유역내 설치된 수평취수정으로부터 하류로 약 50 m 위치에 수직으로 길이 12 m, 수리전도계수 105 cm/sec의 저투수성 벽체(LPB)를 설치하여 함양정의 인공주입 시나리오에 따른 지하수 저류효과를 검토하였다. 그 결과 인공함양 시나리오에 따른 유역내 지하수 저류효과는 저투수성 벽체를 설치하였을 경우, 지하수 총 저류량이 설치 전 대비 약 6배 가량 증가하였으며 지하수 체류시간은 약 4배 정도 증가하는 것으로 모사결과 나타났다. 이러한 결과를 토대로 유역 하류부의 저투수성 벽체 설치가 유역의 함양능력 증대에 기여하며 인공주입에 따른 함양효과를 극대화하기 위해 유역의 자연저류 능력을 강화하는 것이 효율적이라는 사실을 알 수 있었다.
본 연구를 통해 제시된 인공함양-취수 시스템의 함양능력 평가기법은 기상조건을 고려한 대상유역의 함양가능량 평가를 통해 향후 취수가능량을 평가하여 유역의 함양-취수 시스템의 최적 운영조건을 도출하여 가뭄발생에 대비한 농업용수의 효율적인 공급과 안정적인 용수확보에 크게 기여할 것으로 판단된다.












