1. 서 론
2. 소류사량 계측 방법
2.1 파이프 하이드로폰 계측 시스템
2.2 음향신호 분석방법
2.3 이산 웨이블릿 변환(DWT)과 디노이징
3. 실험장치의 구성 및 방법
3.1 실험장치의 구성
3.2 실험방법
4. 실험 분석 및 결과
4.1 펄스 수의 검출을 위한 증폭 배율 선정
4.2 단일입경 실험의 원시신호 및 디노이징 신호 분석
5. 결 론
1. 서 론
최근 이상기후로 인한 집중호우, 태풍 등의 발생횟수와 규모가 증가하고 있는 추세로 국토의 65% 이상이 산지로 이루어진 우리나라는 토사재해의 발생빈도가 급증하며, 산지에서 발생한 다량의 토사가 하류에 위치한 민가로 유출되어 인명 및 재산상에 큰 피해로 발생하고 있다.
여러 국가에서는 약 20년 전부터 토사재해를 저감하기 위해 기존 소류사량 추정 방법의 문제점을 보완한 관측기기의 개발 및 실용화를 위한 다양한 연구가 이루어지고 있다. 1992년 일본에서는 토사이동량의 관측을 위한 새로운 음향적 방법을 제시하였으며, 금속관에 소류사 입자가 충돌할 경우에 발생하는 충돌음향을 신호 처리하여 실시간으로 소류사량을 추정하는 관측기기인 하이드로폰을 개발하였다. 국내에 소류사 간접 계측장치가 도입된 것은 Lee et al.(2014)에서 산림유역에 대한 소류사량 간접 계측 모니터링을 위한 음향센서 파이프 하이드로폰을 설치하여 시스템을 구축하며, 우리나라에서 활용하기 시작하였다.
이러한 계측을 통하여 획득한 음향데이터는 신뢰성이 전제되어야 한다. 그러나 시스템 내·외부의 다양한 원인으로 인해 잡음이 발생하며 시스템의 성능을 저하시킨다. 음향 신호에 원시신호와 같이 계측된 노이즈들은 계측 데이터의 인지도 및 정확도를 저하시키며, 신호의 왜곡을 가져온다(Hwang et al., 2015). 따라서 목표 음향을 뚜렷하게 구별하고 신뢰성이 있는 정교한 데이터를 얻기 위해서는 정밀음향 추출 기술 연구는 필수이다. 이러한 노이즈를 제거하기 위한 전처리 과정으로 디노이징 방법이 있다.
본 논문에서는 음향센서 기반의 소류사 충돌음을 간접적으로 계측하는 파이프 하이드로폰을 활용하여 소류사량과 입도분포에 따라 인지되는 음향신호를 취득하였다. 획득한 원시신호에 디노이징을 적용하여 노이즈를 제거하며, 기존의 신호보다 정교한 데이터를 취득할 수 있는지 확인하는데 목적을 두었다.
2. 소류사량 계측 방법
2.1 파이프 하이드로폰 계측 시스템
파이프 하이드로폰을 이용한 소류사 충돌음 계측 시스템은 Fig. 1과 같다. 하천 하상에 설치된 파이프 하이드로폰에 소류사가 충돌할 경우에 발생하는 음향신호를 파이프 내의 마이크로폰(Microphone)이 감지하여 전기신호로 변환한다. 변환된 원시신호는 Fig. 2와 같이 음의 값을 제외한 양의 값만 추출되고 신호의 정점을 연결한 포락선(Envelope)이 생성된다. 생성된 포락선 신호는 증폭기(Amplifier)에 의해 256배로 증폭된다. 여기서 원시신호를 배율로 증폭시키는 이유는 계측 가능한 소류사 입경 범위가 달라지기 때문이다. 이렇게 배율로 증폭된 채널 신호와 원시신호는 동시에 데이터로거(Datalogger)에 의해 지속적으로 기록된다.
2.2 음향신호 분석방법
파이프 하이드로폰의 소류사 계측 시스템에 의해 기록된 원시신호와 증폭 채널 신호를 이용하여 소류사량을 분석하는 방법으로는 임계치를 초과하는 음향신호에 대해 펄스 수를 검출하여 소류사량을 추정하는 방법이다. 펄스 수를 이용한 소류사 충돌음 분석 방법은 연속량에 대해서 임계치를 설정하고 파이프 하이드로폰에 충돌한 입자 수를 추정한다. 포락선 신호가 임계치를 넘었을 때를 한 번으로 기록한다. 신호를 처리하는 아날로그 회로는 두 종류가 있다. Fig. 2와 같이 여러 단계로 신호를 증폭시켜, 각 신호가 특정 단일 임계치를 초과한 횟수를 기록하는 방법과 Fig. 3과 같이 증폭시키지 않은 신호에 임계치를 여러 단계로 구성하여, 신호가 각각의 임계치를 초과한 횟수를 기록하는 방법이 있다. 양자는 신호의 처리 방법이 다를 뿐 동일하게 펄스 수가 기록된다.
산정된 펄스 수로부터 소류사 충돌음을 계측하기 위한 방법은 다음과 같다. 증폭 채널 방법(Fig. 2)은 다양한 입경을 가진 소류사의 검출률을 고려하기 위하여 다양한 배율로 증폭한 충돌음 신호에서 검출률이 가장 양호하게 나타나는 특정 증폭 신호를 선택하여 소류사량을 추정하는 방법이다. 임계치 설정 방법(Fig. 3)은 충돌음에 대한 진폭의 임계치를 여러 단계로 구성하여 다양한 입경을 가진 소류사의 충돌음에 대해 각각의 임계치의 구분마다 검출되는 펄스 수로부터 소류사 검출률을 추정하는 방법이다.
2.3 이산 웨이블릿 변환(DWT)과 디노이징
DWT는 웨이블릿이라 불리는 기저 함수들의 집합에 의한 신호를 분해하는 과정으로 이해할 수 있다. DWT 수행 방법은 식 (1)과 (2)에 나타낸 것과 같이 저대역-통과 필터(h(n))와 고대역-통과 필터(g(n))를 이용하여 음향을 고주파음과 저주파음으로 각각 필터링한다.
DWT로 필터링 작업이 진행된 신호는 다운 샘플링과 업 샘플링에 의해 변환된다. 신호의 다운 샘플링(Down-sampling)은 비율의 감소 또는 신호의 제거를 말하며, 신호의 업 샘플링(Up-sampling)은 새로운 샘플을 더하여 신호의 샘플 비율을 증가시키는 것이다.
원시신호에서 뚜렷하지 않은 주파수 대역들은 미세한 진폭을 가졌을 것이며, DWT를 통해 주요 정보의 손실 없이 Fig. 4처럼 필터링이 진행된다.
3. 실험장치의 구성 및 방법
3.1 실험장치의 구성
파이프 하이드로폰은 Fig. 5와 같이 스테인리스 스틸 재질의 원형 금속관을 콘크리트 박스로 고정하여 매립시켰다. 마이크로폰은 원형 금속관의 중앙에 위치하고 있으며, 충돌음을 분당 25,600개의 샘플링레이트로 데이터로거에 수집되며, 해리 나이퀴스트(Harry Naquist) 이론에 의하면 최대 12,800 Hz까지 분석할 수 있다. 아울러 소류사 충돌음을 계측하기 위해 Fig. 6과 같이 LabVIEW를 활용하여 데이터 수집 및 저장 시스템을 구축하였으며, 데이터로거에 기록된 소류사 충돌음 신호에서 펄스를 검출하기 위해 음향 특성치 추출 프로그램 또한 구축하였다.
실험수로는 산지하천의 특성을 가지고 있는 강원도 삼척시 미로면에 설치하였으며, 제원은 길이 5.3 m, 폭 0.34 m, 높이 0.5 m이다. 소류사의 충돌음을 정량화하기 위한 실험창지는 유속계와 수위계, 영상카메라, 데이터로거 등으로 구성되어있다. 유량 조절의 경우 실험 수로 측면에 배수로를 조성하여 모래 사대를 이용하여 유량 공급을 조절하였다.
3.2 실험방법
실험은 Fig. 7과 같이 원시신호와 디노이징 신호를 비교하기 위하여 수행하였다. 단일입경 실험의 실험재료는 현장에서 채집한 시료를 체가름 시험기로 6종류의 #10(2~4.75 mm), #4(4.75~9.5 mm), #3/8(9.5~13.2 mm), #1/2(13.2~19.0 mm), #3/4(19.0~26.5 mm), #1(26.5~37.5 mm) 입경으로 세분화하여 사용하였다. 유량은 0.25 m3/s로 수위는 0.11 m로 고정하였다. 소류사량의 변화에 따른 원시신호와 디노이징 신호를 비교하기 위하여 5종류의 무게로 선정하였고, 실험케이스는 5회로 진행하여 총 150회의 실험을 수행하였다.
4. 실험 분석 및 결과
4.1 펄스 수의 검출을 위한 증폭 배율 선정
펄스 수를 검출하기 위해서는 특정 임계치의 설정이 필요하다. 임계치는 실험재료 중 가장 큰 입경인 #1(26.5~37.5 mm)의 실험에서 계측된 최대 음압의 2배가 되는 값인 78 mV으로 설정하였다. 이는 모든 입경에 대한 펄스 수를 검출하기에 적합한 크기이기 때문이다. 본 연구에서는 소류사 충돌음 계측에 가장 적합한 증폭 배율의 신호인 256배율을 소류사량 계측에 가장 적합한 증폭신호로 선정하였다.
4.2 단일입경 실험의 원시신호 및 디노이징 신호 분석
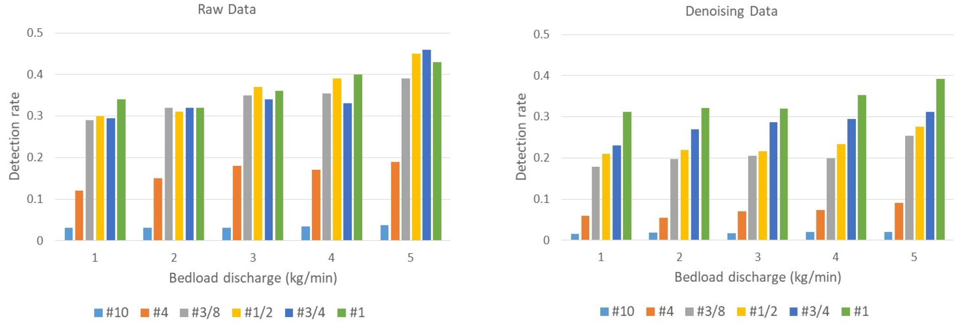
Fig. 8은 원시신호와 디노이징 신호에서의 입경 크기, 소류사량의 변화에 따른 256채널에서 검출된 펄스 수를 나타낸 것이다. 입경 크기 차이에 따른 펄스 수는 #10(2~4.75 mm) > #4(4.75~9.5 mm) > #3/8(9.5~13.2 mm) > #1/2(13.2~19.0 mm) > #3/4(19.0~26.5 mm) > #1(26.5~37.5 mm)의 순으로 작은 입경일수록 펄스 수가 크게 나타났다. 이는 작은 입경일수록 개수가 증가하기 때문에 펄스 수에 반영된 것으로 판단된다. 소류사량의 변화에 따른 평균 펄스 수는 3 kg/min > 2 kg/min > 1 kg/min > 0.5 kg/min > 0.1 kg/min으로 같은 입경에서 소류사량이 증가함에 따라 펄스 수 또한 증가하는 것으로 나타났다.
Fig. 9는 원시신호와 디노이징 신호를 비교한 것이다. 원시신호에서는 모든 입경에서 과대산출되는 경향이 나타났다. 이는 마이크로폰을 통하여 소류사가 수로에서 이동하는 소음과 물이 흐르며 발생하는 소음 및 그 외에 실험 현장에서 발생하는 소음이 포함된 것으로 보인다. 이처럼 발생한 노이즈를 제거하기 위하여 디노이징 방법을 적용하였으며 임계치 설정을 위한 DWT 범위는 파이프 하이드로폰에 계측되는 물 흐름의 소음, 실험장 주변의 소음 값을 적용하여 저·고주파수 필터링을 수행하였다. 그 결과 디노이징 신호는 원시신호에서 과대산출되는 문제를 해결할 수 있었다. 입경 크기 및 소류사량에 대한 계측값이 더욱 정밀함을 보였으며, 디노이징 방법을 통해 음향을 안정적으로 취득할 수 있다는 가능성을 확인할 수 있었다.
5. 결 론
본 연구에서는 파이프 하이드로폰을 활용하여 입경 크기 및 소류사량에 대한 음향신호를 분석하였으며, 원시신호 및 디노이징 신호의 소류사 충돌음의 특성을 비교 검토하였다. 이를 통해 원시신호에 노이즈가 계측되어 과대산출되는 경향을 볼 수 있었으며, 이러한 문제를 디노이징 방법을 통하여 주변 잡음을 임계치로 설정하여 DWT를 통하여 노이즈를 보정한 신뢰성 있는 데이터를 취득할 수 있었다. 이처럼 디노이징 신호를 활용하여 기존 계측된 원시신호보다 정확한 데이터를 취득할 수 있다는 가능성을 확인하였다. 하지만 본 연구는 제한된 조건의 환경에서만 실험을 진행했기 때문에 부유사가 발생하거나 다중 충돌 음향이 발생하는 경우 등 다양한 상황에서 유연하게 대처하지 못하는 한계가 있다. 추후 추가적인 연구가 지속적으로 수행된다면 토사재해로 인한 피해 예방과 기존 단순계측 기술을 벗어나 소류사량에 대한 연속측정 기술 확보를 통해 기초 수문데이터의 질적 및 양적 확보 및 홍수 시 발생하는 소류사의 계측이 가능할 것으로 보인다. 국내 연구가 미흡한 파이프 하이드로폰을 활용한 소류사 계측 시스템 개발을 통해 하천수문관측소에 적용할 수 있는 기술적 기반 마련이 가능할 것으로 기대된다.











